LOHC

Für die Energie- und Klimawende brauchen wir grünen Wasserstoff. Doch Transport und Speicherung sind kompliziert. Reiner Wasserstoff braucht man spezielle Druckbehälter mit 200-500 bar, meine Wasserleitung schafft das nicht. Als flüssiger Wasserstoff braucht man -253°C, meine Kühltruhe kommt da nicht hin. Pipelines funktionieren nur für mittlere Entfernungen und auf all diesen Wegen geht dennoch ein Teil verloren, denn Wasserstoff diffundiert durch viele Materialien hindurch.  Will man Wasserstoff über den Ozean bringen, zum Beispiel um Windenergie aus Patagonien nach Europa zu verschiffen, muss man den Wasserstoff anders „verpacken“. Hierfür gibt es mehrere Möglichkeiten, alle mit eigenen Schwächen.

Für Methan (CH₄) und Methanol (CH₃OH) benötigt man hochkonzentriertes CO₂. Das ist selten, vor allem in Patagonien und am Zielort wird das CO₂ wieder freigesetzt als Treibhausgas. Ammoniak NH₃ ist zwar leichter herzustellen, dafür aber hoch toxisch und entsprechend in der direkten Nachbarschaft etwa so beliebt wie Castor Behälter.

Zum Glück gibt es tolle Ingenieure und Chemiker, die sich da etwas einfallen lassen. LOHC heißt das Zauberwort. Das steht für Liquid Organic Hydrogen Carrier oder sehr frei übersetzt: Eine Wasserstoff Pfandflüssigkeit im praktischen Mehrweg-System.

LOHC sind flüssig und sie können Wasserstoff aufnehmen und chemisch binden. So verpackt fährt der Wasserstoff, genauer der beladene oder auch hydrierte LOHC über den Ozean. Am Zielort angekommen wird der LOHC entladen oder dehydriert und man erhält taufrischen Wasserstoff direkt im eigenen Garten – oder eher im benachbarten Industrie- oder Chemiebetrieb.  Der dehydrierte LOHC fährt dann wieder zurück nach Patagonien, Australien oder in ein anderes windreiches Land, um dort mit neuem H₂ wieder aufgeladen zu werden. Funktioniert wie bei Pfandflaschen, nur dass die Flaschen auf Hin- und Rückweg gleichermaßen mit Flüssigkeit gefüllt sind, einmal mit und einmal ohne Wasserstoff dabei.

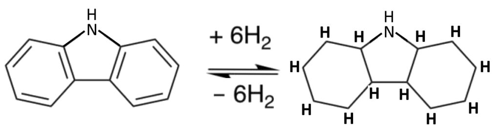
Als LOHC stehen verschiedene Varianten zur Auswahl. Für die Hobbychemiker – die meisten Varianten basieren auf Benzol-Ringen. Beim Beladen werden die Doppelbindungen aufgebrochen und schaffen so Platz für Wasserstoff. Am Zielort baut man das Gleiche wieder zurück.

So weit die Theorie. Für die Praxis muss man genauer hinschauen, vor allem auf das Energiemanagement. Das Beladen des LOHC setzt viel Energie frei (9 kWh pro kg Wasserstoff). Im Idealfall kann man diese Abwärme vor Ort gut nutzen. Klappt das nicht, geht diese Energie verloren.  Entladen wird der Speicher bei etwa 300°C und es werden 11 kWh Wärmeenergie benötigt pro kg Wasserstoff. Gut klappt dies in Industrieprozessen, die viel Abwärme liefern, z.B. in einem Stahlwerk, das grünen Wasserstoff braucht. Doch auch dies muss man im Einzelfall prüfen.

Die Technik für flüssige Wasserstoffträger ist noch jung, doch erste Anlagen werden bereits gebaut. In Dormagen entsteht eine Anlage zur Speicherung von 1.800 Tonnen Wasserstoff pro Jahr. Das Gegenstück dazu entsteht im Bayerischen Vohburg mit der gleichen Kapazität zum Entladen des LOHC. Der Transport zwischen den Standorten erfolgt per LKW voraussichtlich ab 2028, hoffentlich mit Elektroantrieb. Hier zeigt sich eine Schwäche. Um eine Tonne Wasserstoff zu transportieren, braucht es etwa 15 Tonnen LOHC. Das ist eine sehr schwere Pfandflasche sowohl auf dem Hin- als auch auf dem Rückweg.

Vorteile bietet diese Technik, wenn der Wasserstoff an viele kleine Abnehmer verteilt werden muss, vor allem da, wo man nicht unbedingt hochtoxischen Ammoniak in der Nachbarschaft haben will. Die dabei benötigte Prozesswärme reicht dann jedenfalls auch noch für sehr viel heißen Kaffee.

 

Jetzt Newsletter abonnieren

Klima ist wichtig? Dann trage dich hier ein und erhalte jeden Sonntag den neuesten Text per E-Mail...

Tut gut, ist kostenfrei und jederzeit kündbar
Es gelten die Datenschutzbestimmungen.

Jetzt Newsletter abonnieren

Klima ist wichtig? Dann trage dich hier ein und erhalte jeden Sonntag den neuesten Text per E-Mail...

Tut gut, ist kostenfrei und jederzeit kündbar
Es gelten die Datenschutzbestimmungen.

2 Gedanken zu „LOHC

    1. Methanisierung ist sinnvoll, um Stromüberschüsse saisonal zu speichern, wenn man einen Anschluss ans Erdgasnetz hat. Bei unserer aktuellen Politik besteht jedoch die Gefahr, dass dieses Methan über sinnfreie Biotreppen verheizt wird, statt sich auf Wärmepumpen und Überbrückung von Dunkelflauten zu konzentrieren.

      LOHC bringt Vorteile, wenn man Wasserstoff als Endprodukt braucht und dieser an mehrere Abnehmer zu verteilen ist. LOHC lässt sich in normalen Tanklastwagen transportieren und so leicht verteilen. Effizient wird das jedoch nur, wenn die Abwärme beim „Verpacken“ genutzt wird und beim „Entpacken“ die Temperaturen bereits verfügbar sind, z.B. in einem Stahlwerk. Es bleibt abzuwarten, wohin sich diese neue Technik entwickelt.

Schreibe einen Kommentar

Deine E-Mail-Adresse wird nicht veröffentlicht. Erforderliche Felder sind mit * markiert